电池制造商受到生产高能量密度和更快充电的电池需求的驱动。为了满足这样的要求,需要将高性能负极材料与下一代液体电解质结合起来。石墨烯制成的负极具有革新下一代可充电锂/钠离子电池的巨大潜力。尽管实验已经证明了石墨烯负极的能力,但基于真空的密度泛函理论(DFT)计算预测,由于Li/Na的插层有限且扩散率不令人满意,纯石墨烯的性能较差。在电池中,取决于介质的极化率,电极和金属原子之间的相互作用可能会发生变化,这可能会影响性能。在此,使用隐式溶剂化DFT计算研究了液体电解质的介电常数对石墨烯基Li/Na离子电池性能的影响。发现石墨烯与吸附原子之间的结合能随ε
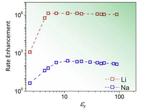
r单调增加,甚至从正变到负,表明在能量上有利于插层并改善了存储。同样,在εr≥11.5的情况下,发现Li(Na)的扩散相对于真空急剧增加了106(2×102)倍。这些结果提供了对基于石墨烯的离子电池操作的见解,并为其设计提供了指导。
 
 

Figure 1. Li/Na原子与石墨烯之间的(a)垂直距离和(b)电子电荷转移是ε
r的函数。石墨烯上键合的Li原子的极化电荷密度(p
pol),其极化表面为(c)ε
r=2.37和(d)ε
r=78.4的可极化介质包围。
 

Figure 2. 在石墨烯上,Li和Na在(a)扶手椅和(d)之字形方向上的平均自由程。Li(b,e)和Na(c,d)分别在扶手椅和之字形方向的相关能量分布图(右)
 
 
 
 
Figure 3. 在(a)扶手椅和(b)之字形方向上,Li/Na在石墨烯上扩散的能垒是ε
r的函数。插图表示绿色虚线矩形内区域的放大视图。
 

Figure 4. 石墨烯上,300 K下,扶手椅方向,Li和Na的迁移速率随ε
r(相对于真空)增大,速率增强
 
        相关研究成果于2020年由多伦多大学Chandra Veer Singh课题组,发表在Carbon(doi.org/10.1016/j.carbon.2020.02.001)上。原文:Dramatic improvement in the performance of graphene as Li/Na battery anodes with suitable electrolytic solvents。
转自《石墨烯杂志》公众号
.jpg)